# 平行向量

[線性代數](https://lochiwei.gitbook.io/math/linear) ⟩ [向量](https://lochiwei.gitbook.io/math/linear/vec) ⟩ 平行向量

{% hint style="success" %}
若兩向量有<mark style="color:yellow;">**倍數關係**</mark>，我們就說此兩向量「<mark style="color:purple;">**平行**</mark>」：

$$\mathbf{u} = {\color{orange}k} \mathbf{v}  \text{ or }  \mathbf{v} = {\color{orange}k} \mathbf{u} \ ({\color{orange}k} \in \mathbb{R})  \iff \mathbf{u} \parallel \mathbf{v}$$

:star: 注意：此兩向量<mark style="color:green;">**可以**</mark>是<mark style="color:yellow;">**零向量**</mark>:exclamation:
{% endhint %}

{% tabs %}
{% tab title="🔸 性質" %}
{% hint style="success" %}

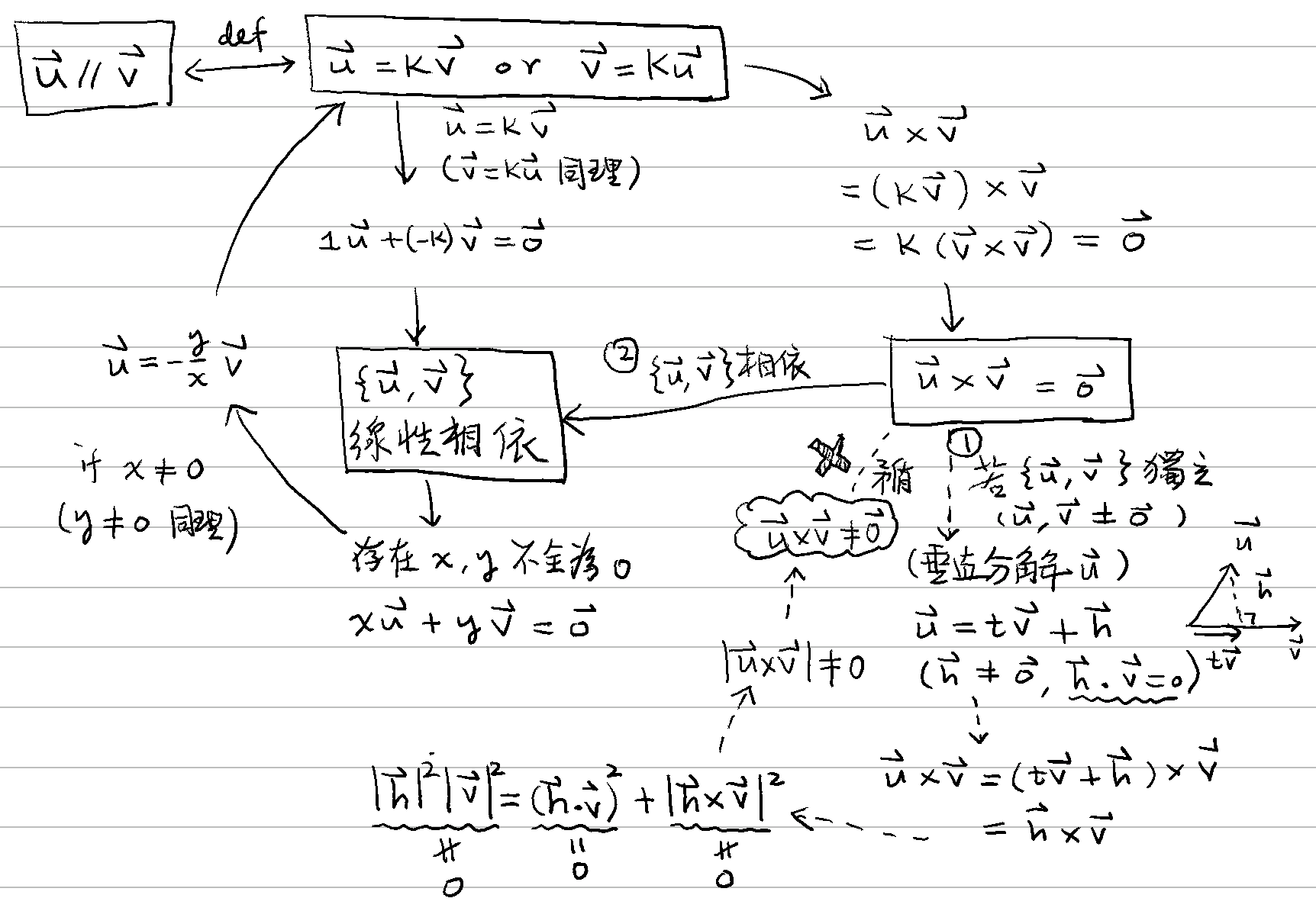
1. 下列各點是等價的：
   * $$\mathbf{u} \parallel \mathbf{v}$$
   * $$\mathbf{u} = {\color{orange}k} \mathbf{v}  \text{ or }  \mathbf{v} = {\color{orange}k} \mathbf{u} \ ({\color{orange}k} \in \mathbb{R})$$
   * $${ \mathbf{u}, \mathbf{v} }$$ [線性相依](https://lochiwei.gitbook.io/math/linear/indep) (linearly dependent)
   * $$\mathbf{u}\times\mathbf{v} = \mathbf{0}$$  (適用於： $$\mathbb{R}^2$$, $$\mathbb{R}^3$$, $$\mathbb{C}$$)
     {% endhint %}

🎖 證明： :point\_right:  <img src="https://487293287-files.gitbook.io/~/files/v0/b/gitbook-x-prod.appspot.com/o/spaces%2F-M5-JmwIjjSzWft9bo8C%2Fuploads%2FaSGMQqKpsDRyQ5z2s97O%2Fparallel_vectors_prop.png?alt=media&#x26;token=0db99609-14b2-4143-9b7d-d46d85ca774d" alt="" data-size="line">

{% hint style="info" %}
2\. <mark style="color:yellow;">**零向量**</mark><mark style="color:purple;">**平行於**</mark>任何向量:exclamation:
{% endhint %}

{% hint style="info" %}
3\. $$\mathbf{u} \perp \mathbf{v} \ , \ \mathbf{u} \parallel \mathbf{v} \iff \mathbf{u} = \mathbf{0} \text{ or } \mathbf{v} = \mathbf{0}$$
{% endhint %}

🎖 證明： (由[向量長度性質 1, 3](https://lochiwei.gitbook.io/math/linear/norm#xing-zhi) 可得)
{% endtab %}

{% tab title="⬆️ 需要" %}

* [perp](https://lochiwei.gitbook.io/math/linear/vec/decomp/perp "mention")
* 向量長度 ⟩ [性質 1, 3](https://lochiwei.gitbook.io/math/linear/norm#xing-zhi)
* [向量外積性質](https://lochiwei.gitbook.io/math/linear/op/cross#xing-zhi)
  {% endtab %}

{% tab title="⬇️ 應用" %}

* [decomp](https://lochiwei.gitbook.io/math/linear/vec/decomp "mention")
  * [perp](https://lochiwei.gitbook.io/math/linear/vec/decomp/perp "mention")
  * [spherical](https://lochiwei.gitbook.io/math/linear/vec/decomp/spherical "mention")
* 「<mark style="color:yellow;">**向量除法**</mark>」[性質 2](https://lochiwei.gitbook.io/math/linear/op/div#xing-zhi)： $$\left(\dfrac{\mathbf{\color{orange}u}}{\mathbf{v}}\right)^{-1} = \dfrac{\mathbf{v}}{\mathbf{\color{orange}u}} \iff \mathbf{u} \parallel \mathbf{v}$$  ( $$\mathbf{u}, \mathbf{v} \neq \mathbf{0}$$ )
* 平行向量性質可用於證明：
  * [四元數乘法](https://lochiwei.gitbook.io/math/num/quaternion/op/x)<mark style="color:yellow;">**可交換之條件**</mark>（[性質 5](https://lochiwei.gitbook.io/math/num/quaternion/op/x#xing-zhi)）
  * [四元數除法性質](https://lochiwei.gitbook.io/math/num/quaternion/op/div#xing-zhi)
    {% endtab %}

{% tab title="👥 相關" %}

* [perp](https://lochiwei.gitbook.io/math/linear/vec/perp "mention")
  {% endtab %}
  {% endtabs %}
